Figure 3

Download original image
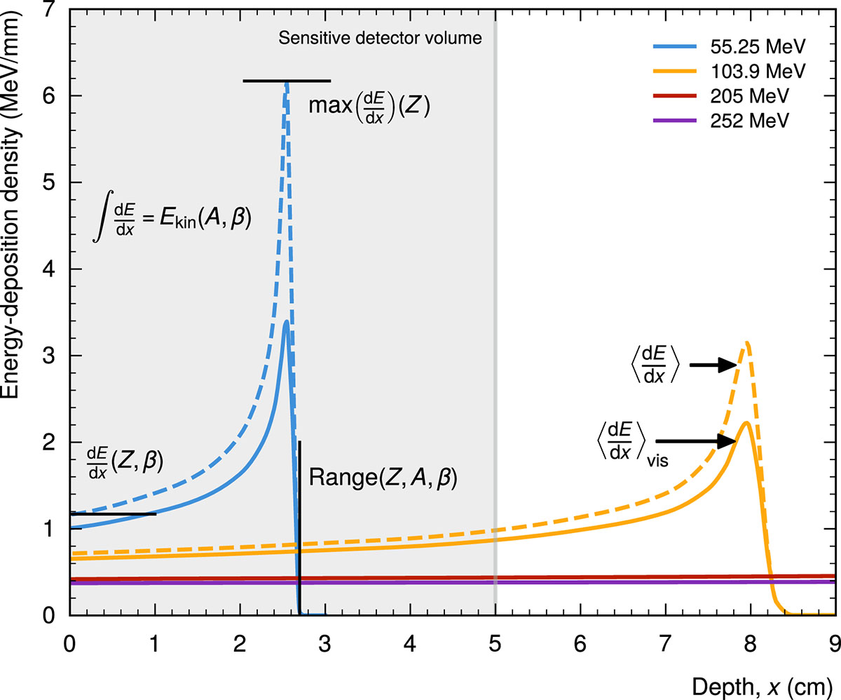
Illustration of the parameters that can be determined from the energy-deposition profiles of cosmic-ray nuclei. The dashed curves show the mean energy deposition, (dE/dx), of protons with different energies in high-density polyethylene1. The energy-deposition profile of a stopping particle encodes its nuclear charge, Z, mass number, A, velocity, β, and kinetic energy, Ekin. For penetrating particles, only Z and β can be determined. The solid curves illustrate how ionization quenching reduces the measurable energy-deposition density, which we denote as (dE/dx)vis. For clarity, fluctuations due to energy-loss straggling are not shown.
Current usage metrics show cumulative count of Article Views (full-text article views including HTML views, PDF and ePub downloads, according to the available data) and Abstracts Views on Vision4Press platform.
Data correspond to usage on the plateform after 2015. The current usage metrics is available 48-96 hours after online publication and is updated daily on week days.
Initial download of the metrics may take a while.
