Figure 7
Download original image
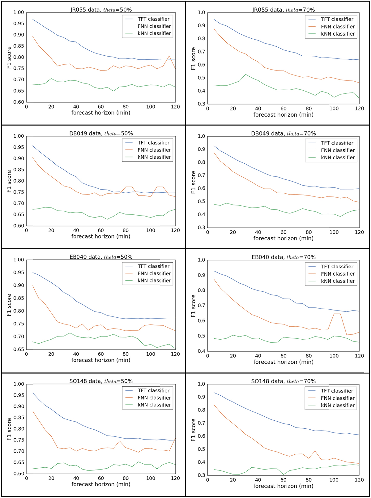
The performance of the proposed TFT classifier compared to state-of-the-art tools, such as a FNN (a three-layer network with 30, 10, and 1 nodes in the 1st, 2nd, and 3rd layers, respectively) and a k-NN classifier (for k = 25). In our experiment, LSTID forecasts are performed for a time period up to two hours ahead for the Digisonde locations in Juliusruh (Germany, JR055), Dourbes (Belgium, DB049), Ebro (Spain, EB040), and Sopron (Hungary, SO148). The performance is measured in terms of the F1-score for the cases where theta takes the values 50% and 70%.
Current usage metrics show cumulative count of Article Views (full-text article views including HTML views, PDF and ePub downloads, according to the available data) and Abstracts Views on Vision4Press platform.
Data correspond to usage on the plateform after 2015. The current usage metrics is available 48-96 hours after online publication and is updated daily on week days.
Initial download of the metrics may take a while.
