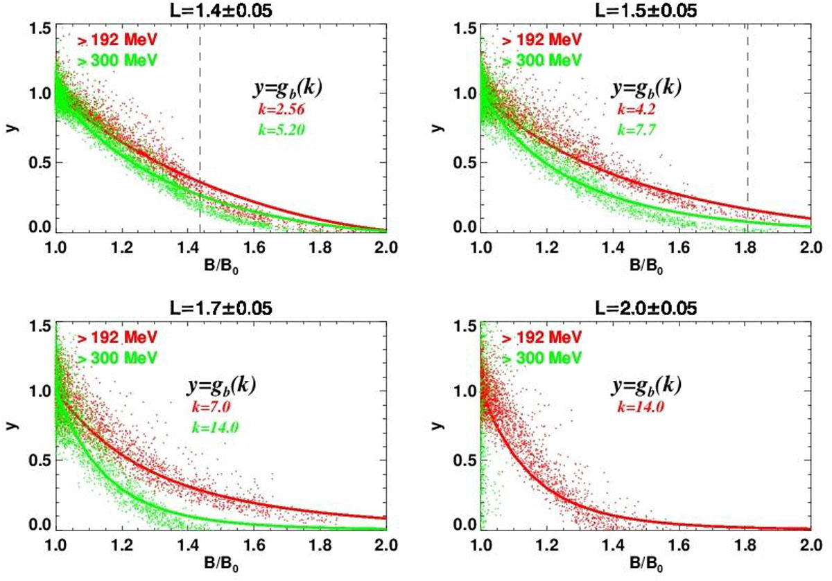
Figure S5.
Download original image
Proton flux observations (normalized to the equatorial flux intensity of the shell),y, as a function of B/B0 in four L shells. Discrete data points: based on observations within the L-shell interval by RPS-b in year 2013 (red: >192 MeV; green: >300 MeV); Solid line: gb function, computed with value of k indicated (see Equation (6); Vertical dashed line:
= 1000 km, separating the high-altitude region and the low-altitude region of the environment.
Current usage metrics show cumulative count of Article Views (full-text article views including HTML views, PDF and ePub downloads, according to the available data) and Abstracts Views on Vision4Press platform.
Data correspond to usage on the plateform after 2015. The current usage metrics is available 48-96 hours after online publication and is updated daily on week days.
Initial download of the metrics may take a while.
